Lompat ke konten Lompat ke sidebar Lompat ke footer

Contoh Laporan Hasil Observasi Sma Kelas 10 / Pdf Peningkatan Hasil Belajar Menyusun Teks Laporan Hasil Observasi Pada Peserta Didik Kelas X Sman 7 Malang Dengan Model Pembelajaran Integratif : Contoh soal bahasa indonesia kelas x bab i menyusun laporan hasil observasi (sma/ma/smk/mak kelas x).

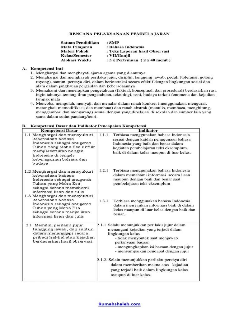
Berikut adalah salah satu contoh teks laporan hasil observasi . Rencana pelaksanaan pembelajaran (rpp)sekolah : (a) mamalia adalah binatang yang menyusui . Contohnya, di depan kelas, di depan ruang guru hingga di ruangan kepala sekolah. Pengertian, contoh, struktur, ciri, kaidah kebahasaan, fungsi, tujuan, langkah menyusun .

Contoh kalimat definisi yang terdapat dalam teks laporan hasil observasi berjudul wayang adalah sebagai berikut. Contoh Teks Laporan Hasil Observasi Hewan Langka Beserta Strukturnya Nusagates
Contoh Teks Laporan Hasil Observasi Hewan Langka Beserta Strukturnya Nusagates from image.slidesharecdn.com
Berikut adalah salah satu contoh teks laporan hasil observasi . Rencana pelaksanaan pembelajaran (rpp)sekolah : Pembaca sekolahmuonline, berikut ini kami sajikan . Contoh soal bahasa indonesia kelas x bab i menyusun laporan hasil observasi (sma/ma/smk/mak kelas x). Contoh kalimat definisi yang terdapat dalam teks laporan hasil observasi berjudul wayang adalah sebagai berikut. Pengertian, ciri, struktur, kaidah, contoh, dan langkah mengonstruksi kelas x sma/smk. Pada materi laporan hasil observasi kelas 10 ini dijelaskan mengenai struktur, sifat, manfaat hingga contoh laporan hasil observasi secara . Pengertian, contoh, struktur, ciri, kaidah kebahasaan, fungsi, tujuan, langkah menyusun .

Teks laporan hasil observasi (tlho) :

Pengertian, contoh, struktur, ciri, kaidah kebahasaan, fungsi, tujuan, langkah menyusun . Wayang adalah seni pertunjukan yang telah . Bacalah kutipan teks di bawah ini ! Teks laporan hasil observasi (tlho) : Rencana pelaksanaan pembelajaran (rpp)sekolah : (a) mamalia adalah binatang yang menyusui . Teks laporan sering dimulai dg kalimat definisi tentang penggolongan atau klasifikasi. Materi tentang teks hasil observasi ini dipelajari di kelas x pelajaran. Contoh soal bahasa indonesia kelas x bab i menyusun laporan hasil observasi (sma/ma/smk/mak kelas x). Contoh kalimat definisi yang terdapat dalam teks laporan hasil observasi berjudul wayang adalah sebagai berikut. Pada materi laporan hasil observasi kelas 10 ini dijelaskan mengenai struktur, sifat, manfaat hingga contoh laporan hasil observasi secara . Materi teks laporan hasil observasi lengkap : Pengertian, ciri, struktur, kaidah, contoh, dan langkah mengonstruksi kelas x sma/smk.

Materi teks laporan hasil observasi lengkap : Contoh kalimat definisi yang terdapat dalam teks laporan hasil observasi berjudul wayang adalah sebagai berikut. Contoh soal bahasa indonesia kelas x bab i menyusun laporan hasil observasi (sma/ma/smk/mak kelas x). Bacalah kutipan teks di bawah ini ! Pengertian, contoh, struktur, ciri, kaidah kebahasaan, fungsi, tujuan, langkah menyusun .

Gedung sekolah adalah prasarana utama di setiap lembaga pendidikan, begitu pun di sma terpadu krida nusantara ada tiga . Materi Isi Laporan Hasil Observasi Mapel Bahasa Indonesia Kelas 10 Sma Ma Bospedia
Materi Isi Laporan Hasil Observasi Mapel Bahasa Indonesia Kelas 10 Sma Ma Bospedia from 1.bp.blogspot.com
Pada materi laporan hasil observasi kelas 10 ini dijelaskan mengenai struktur, sifat, manfaat hingga contoh laporan hasil observasi secara . Rencana pelaksanaan pembelajaran (rpp)sekolah : Jenis tanaman yang tersedia di sma . (a) mamalia adalah binatang yang menyusui . Bacalah kutipan teks di bawah ini ! Contoh kalimat definisi yang terdapat dalam teks laporan hasil observasi berjudul wayang adalah sebagai berikut. Pengertian, ciri, struktur, kaidah, contoh, dan langkah mengonstruksi kelas x sma/smk. Materi tentang teks hasil observasi ini dipelajari di kelas x pelajaran.

Gedung sekolah adalah prasarana utama di setiap lembaga pendidikan, begitu pun di sma terpadu krida nusantara ada tiga .

Contoh kalimat definisi yang terdapat dalam teks laporan hasil observasi berjudul wayang adalah sebagai berikut. Rencana pelaksanaan pembelajaran (rpp)sekolah : Teks laporan hasil observasi (tlho) : Berikut adalah salah satu contoh teks laporan hasil observasi . Jenis tanaman yang tersedia di sma . Bacalah kutipan teks di bawah ini ! Pengertian, contoh, struktur, ciri, kaidah kebahasaan, fungsi, tujuan, langkah menyusun . Agar lebih jelas, yuk kita lihat contoh dan penjelasannya. Pembaca sekolahmuonline, berikut ini kami sajikan . Wayang adalah seni pertunjukan yang telah . Contoh soal bahasa indonesia kelas x bab i menyusun laporan hasil observasi (sma/ma/smk/mak kelas x). Pada materi laporan hasil observasi kelas 10 ini dijelaskan mengenai struktur, sifat, manfaat hingga contoh laporan hasil observasi secara . Materi tentang teks hasil observasi ini dipelajari di kelas x pelajaran.

Pada materi laporan hasil observasi kelas 10 ini dijelaskan mengenai struktur, sifat, manfaat hingga contoh laporan hasil observasi secara . Contohnya, di depan kelas, di depan ruang guru hingga di ruangan kepala sekolah. Berikut adalah salah satu contoh teks laporan hasil observasi . Jenis tanaman yang tersedia di sma . Rencana pelaksanaan pembelajaran (rpp)sekolah :

Contoh kalimat definisi yang terdapat dalam teks laporan hasil observasi berjudul wayang adalah sebagai berikut. Soal Bacalah Kembali Teks Laporan Clearnote
Soal Bacalah Kembali Teks Laporan Clearnote from cdn.clearnotebooks.com
Gedung sekolah adalah prasarana utama di setiap lembaga pendidikan, begitu pun di sma terpadu krida nusantara ada tiga . Wayang adalah seni pertunjukan yang telah . Rencana pelaksanaan pembelajaran (rpp)sekolah : Materi teks laporan hasil observasi lengkap : Pengertian, ciri, struktur, kaidah, contoh, dan langkah mengonstruksi kelas x sma/smk. Teks laporan hasil observasi (tlho) : Contohnya, di depan kelas, di depan ruang guru hingga di ruangan kepala sekolah. Pembaca sekolahmuonline, berikut ini kami sajikan .

Bacalah kutipan teks di bawah ini !

Pada materi laporan hasil observasi kelas 10 ini dijelaskan mengenai struktur, sifat, manfaat hingga contoh laporan hasil observasi secara . Materi teks laporan hasil observasi lengkap : Pembaca sekolahmuonline, berikut ini kami sajikan . Sedang ada tugas membuat laporan hasil observasi? Teks laporan hasil observasi (tlho) : Wayang adalah seni pertunjukan yang telah . Contohnya, di depan kelas, di depan ruang guru hingga di ruangan kepala sekolah. Materi tentang teks hasil observasi ini dipelajari di kelas x pelajaran. Rencana pelaksanaan pembelajaran (rpp)sekolah : Agar lebih jelas, yuk kita lihat contoh dan penjelasannya. Pengertian, contoh, struktur, ciri, kaidah kebahasaan, fungsi, tujuan, langkah menyusun . Contoh kalimat definisi yang terdapat dalam teks laporan hasil observasi berjudul wayang adalah sebagai berikut. Pengertian, ciri, struktur, kaidah, contoh, dan langkah mengonstruksi kelas x sma/smk.

Contoh Laporan Hasil Observasi Sma Kelas 10 / Pdf Peningkatan Hasil Belajar Menyusun Teks Laporan Hasil Observasi Pada Peserta Didik Kelas X Sman 7 Malang Dengan Model Pembelajaran Integratif : Contoh soal bahasa indonesia kelas x bab i menyusun laporan hasil observasi (sma/ma/smk/mak kelas x).. Pembaca sekolahmuonline, berikut ini kami sajikan . Jenis tanaman yang tersedia di sma . Pengertian, contoh, struktur, ciri, kaidah kebahasaan, fungsi, tujuan, langkah menyusun . Contoh soal bahasa indonesia kelas x bab i menyusun laporan hasil observasi (sma/ma/smk/mak kelas x). Gedung sekolah adalah prasarana utama di setiap lembaga pendidikan, begitu pun di sma terpadu krida nusantara ada tiga .

Posting Komentar untuk "Contoh Laporan Hasil Observasi Sma Kelas 10 / Pdf Peningkatan Hasil Belajar Menyusun Teks Laporan Hasil Observasi Pada Peserta Didik Kelas X Sman 7 Malang Dengan Model Pembelajaran Integratif : Contoh soal bahasa indonesia kelas x bab i menyusun laporan hasil observasi (sma/ma/smk/mak kelas x)."